Chaum-van Heigst-Pfitzmann HashfunktionSchlüsselverteilung


Extension von Hashfunktionen

Bisher haben wir Hashfunktionen der Art mit und festen Werten und betrachtet. Wir wollen nun die Funktion ausdehnen, indem wir die Hashfunktionen für beliebige endliche 0,1-Folgen definieren, also Hashfunktionen der Art betrachten.

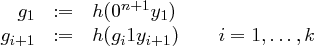
Hierzu zerlegen wir einen String mit Länge in Teilstrings , wie folgt:

Dann bildet man die Strings mit für und jeweils der Länge . Weiter sei die Binärdarstellung der Zahl . Mit

ist der Hashwert dann .